Search

Qwen3 Technical Report & Group Sequence Policy Optimization (GSPO)

Category
PaperReview
Venue
ARXIV
Backbone
Qwen3
Text
- Qwen3의 TR과 GSPO 핵심 원리 정리
PPT

0. Abstract

huggingface에 올라온 수많은 Qwen3 Kingdom
Qwen3-2504: 가장 초기 버전의 Qwen3. reasoning과 non-reasoning mode를 hybrid형태로 제공.
Qwen3-2507: instruct model과 reasoning model을 분류학습해서 제공. 이 버전부터 GSPO 적용된 것으로 보임.
Qwen-Next: total parameters와 context lengths 증가를 위해 hybrid attention, multi-token prediction 등 지원.
Qwen-Plus/Max: Chinese/English 능력 향상 + model parameter 증가 (1 trillion parameters and was pretrained on 36 trillion tokens.)
→ Max는 서비스용으로 공개 안되는듯
리뷰할 TR은 Qwen-2504 공개시 작성된 report 및 GSPO 관련 내용

Technical Report

1. Introduction

Qwen3가 기존과 달리진 부분은 아래와 같다.
- thinking mode와 non-thinking mode를 hybrid하게 이용할 수 있는 single model
- thinking token budget control이 가능한 model (user 편의대로 performance-cost trade off 조정 가능)
- 36 trillion tokens로 pre-trained / 119 언어와 dialect 기능 제공
- multi-stage post-training을 통해 reasoning mode 통합 training, if 성능 강화

2. Architecture

Model Card
Dense (6): Qwen3-0.6B,Qwen3-1.7B,Qwen3-4B,Qwen3-8B, Qwen3-14B, Qwen3-32B
MoE (2): Qwen3-30B-A3, Qwen3-235B-A22B
Architecture
Qwen2.5와 거의 유사한 architecture 사용
Grouped Query Attention, SwiGLU, Rotary Positional Embeddings, RMSNorm withpre-normalization.
Qwen2에서 사용된 QKV-bias대신 QKV-Norm 사용
(QKV-Norm: Scaling Vision Transformers to 22 Billion Parameters에서 ViT의 efficiency와 training stability를 향상시키기 위해 제안된 3가지 modification중 1개)
- xxxx steps 이후에 ViT의 training loss가 튀어서 확인 → attention score가 one-hot vector로 수렴해서 near-zero entropy가 있는 layer 존재
- Q,K에 layer norm을 적용함으로 calibration 효과 (Qwen3은 Value에도 적용한듯)
MoE architecture에 대한 자세한 기술은 없지만 Qwen2.5-MoE에서 사용한 shared expert를 제외했다고 함; downstream task 성능 향상에 기여
128 total experts with 8 activated experts per token
- shared expert: DeepSeekMoE등에서 사용된 technique로 top-k FFN()을 제외하고 고정적으로 활성화되는 expert FFN()을 두는 구조
(아래 그림을 보면 1번 FFN()은 항상 고정적으로 output hidden을 만드는데 기여함)
MoE 학습 안정화를 위해 Load Balancing Loss(LBL) 추가; downstream task 성능 향상에 기여
- MoE를 naive하게 학습하면 특정 expert에만 토큰이 과도하게 라우팅되는 expert collapse 현상이 발생
- LBL: 특정 expert에에게 과도하게 집중되는 것을 패널티하는 loss
fif_i: expert EiE_i가 받은 토큰의 비율 (fraction of tokens)
PiP_i: expert EiE_i가 할당받은 라우팅 확률 (routing probability)
NEN_E: 전체 expert 수
- model, pipe parallel이 필연적이기에 parallel group 내부에서만 LBL을 계산하고, 이후 all-gather로 평균내기도 함
NPN_P: 전체 parallel group 수
fˉ=1NE\bar{f} = \frac{1}{N_E}: 균등 분배 시 이상적인 값
Pˉ=1NE\bar{P} = \frac{1}{N_E}
⇒ 직관적으로 해석하면 router가 약속한 확률 분포대로 실제 토큰이 어느정도는 배분되도록 유도, 실제 구현에서는 정규화와 스케일링을 추가해서 collapse를 드러내도록 설계
균등 분배일 때: f=P=[0.5,0.5]f=P=[0.5,0.5]
→ 0.5/0.5 * 0.5/0.5 + 0.5/0.5 * 0.5/0.5 = 1.0
collapse일 때: f=[0.9,0.1],P=[0.5,0.5]f=[0.9,0.1], P=[0.5,0.5]
→ 0.9/0.5 * 0.5/0.5 + 0.1/0.5 * 0.5/0.5 = 2.0
⇒ 한 parallel group이 특정 도메인 데이터에 특화되었다고 해도, router는 여전히 “균등 분배”를 시도하도록 수식이 설계 → 특정 전문가가 특정 도메인에 특화되는 것을 학습적으로는 방해 → domain specific expert를 만들기 보다는 토큰 단위의 routing 패턴만 학습하기 위함 (결론은 efficiency 향상이 최종 목적)
BPE 계열의 BBPE tokenizer 사용
151,669 vocab dim

3. Pre-training

Pre-training Data

Qwen.2.5 대비 pre-training token 2배이상, 지원 가능한 언어 3배 이상
pre-training tokens: 36T
languages: 119
Qwen2.5-VL (extraction) → Qwen2.5 (rewrite)를 통해 PDF-like document에서 T단위 데이터 확보
small proxy models에 여러 data-mixture를 가지고 실험해서 data-mixture optimization을 진행했다고 함

Pre-training Stage (1→2→3)

1.
General Stage: 4096 context length로 30T (전체의 5/6) pre-training token 학습
2.
Reasoning Stage: STEM, coding, reasoning, synthetic data 비율을 높혀 HQ data 5T 학습 (4096 context length 유지)
3.
Long Context PT: 75% (16,384-32,768 tokens) & 25% (4096-16,384 tokens) 비율을 맞춘 1T 안되는 token을 학습
(자세히 보지는 못했지만 다음과 같은 기법이 적용되었다고 함)
- Adaptive Base Frequency: base frequency 값을 더 크게 바꾸어서 (10,000→1,000,000), 더 긴 시퀀스에 대해서도 RoPE의 상대 위상(회전 각도)이 덜 extrapolate되도록 함
- YaRN: (1 )RoPE 차원을 부분적으로 나누고 보 또는 scaling을 하는 전략 (2) attention softmax 전에 temperature tt 를 곱해주는 scaling을 도입해서, 더 먼 거리에 있는 토큰들이 attention에서 완전히 무시되지 않도록 조절
- Dual Chunk Attention: 세 종류의 attention을 조합 (1) Intra-chunk attention: 같은 chunk 내부 토큰들 사이의 attention (2) Successive-chunk attention: 인접한 chunk 간의 토큰 관계를 반영 (3) Inter-chunk attention: 비인접(멀리 떨어진) chunk 간의 관계도 일부 캡처

Pre-training Evaluation

General KG, reasoning, math, science, coding, multilingual 위주
- 기존 SOTA dense, MoE base models (DeepSeekV3 Base, Llama-4-Maverick Base, and Qwen2.5-72B-Base)대비 Qwen3-235B-A22B-Base가 적은 total params, active params로 더 좋은 성적
- 동일한 PT token을 봤음에도, Qwen3-30B-A3B가 Qwen-14B 대비 1/5적은 active params로 on-par 성능
- 이전의 Qwen2.5-3B/7B/14B/32B/72B-Base에 대응되는 Qwen2.5-3B/7B/14B/32B/72B-Base가 더 적은 total params으로 좋은 성능 (2배 넘는 token을 학습했으니 당연..)

4. Post-training

Qwen3 Post-training의 전략적 목표:
1.
Thinking Control: think mode, non-think mode의 조합
2.
Strong-to-Weak Distillation: small scale model의 효과/효율적인 학습
(student model을 4 stage에 거쳐서 학습하는것보다 (1) 높은 pass@1/64 score (2) 1/10 GPU hours)

Long-CoT Cold Start (SFT)

- 모델에게 CoT 능력을 주입시키기 위한 단계. query/answer filtering으로 dataset 고도화 → SFT
Query Filtering (Qwen2.5-72B-Instruct)
not easily verifiable / multiple sub-questions / text generation query 제거
Qwen2.5-72B-Instruct가 CoT 없이 답하는 query 제거
domain labeling (Qwen2.5-72B-Instruct) → dataset curation
(어떤 taxonomy 썼는지는 공개 x)
Answer Filtering (QwQ-32B-Instruct)
N response generation, pass@N이 성공적인 (q,a)에 대해서 filtering 진행
repetition / guesswork w/o adequate reasoning / inconsistencies between thinking final answer / language mixing generation / overly similar to valid set (valid answer가 있는 set에 대해서 진행한 듯?)
→ (추측상) 이 작업은 미국 foundation model로 했을거 같음
- 최종 모델 기준으로 RULER (retrieval generation)에 평가
- thinking mode (budget=8192)는 context 길어질수록 성능이 조금씩 하락 (Qwen-32B 64/128K; non-think vs. think)

Reasoning RL (GRPO)

SFT단계에서 사용하지 않고 / 어렵고 (model-based filter) / Cold Start RL에 바로 사용가능한 query-verifier (answer/test-case/etc) set 구성
3,995 sample로 GRPO 진행
large batch size / high number of rollouts query / off-policy training이 학습 효율에 도움이 되었다.
(off-policy training은 매 training-step마다 policy model checkpoint를 교체하지 않았다는 것 같음)
Qwen3-235B-A22B이 170 RL training step 이후 AIME24에서 70.1 → 85.1

Thinking Mode Fusion (SFT w and w/o thinking mode)

SFT data construction
Thinking Data: Long-CoT Cold Start의 query→ Reasoning RL Model로 answer generation → rejection sampling
Non-Thinking Data: coding, mathematics, instruction-following, multilingual tasks, creative writing, question answering, role-play dataset curation / answer verifier는 알아서 잘한듯 / low-resource language capabilities 향상을 위해 translation task 비율 증가
Chat Template Design
default가 reasoning model
multi-turn dialog에서는 /think, /no_think 혼용해서 데이터셋 구상
HF chat template로 control 가능
Thinking Budget (설명이 불명확함)
thinking budget에 다다르면 “Considering the limited time by the user, I have to give the solution based on the thinking directly now.\n</think>.\n\n”.를 넣어서 thinking budget 끝내고 답변 생성하도록 함 (dataset에 몇개 추가했을듯)
“Considering the limited time by the user, I have to give the solution based on the thinking directly now.\n</think>.\n\n”. 나오기 전까지의 reasoning step을 바탕으로 final answer generation하는 현상이 관찰되었다고 함

General RL (RLHF / preference alignment)

- 20개가 넘는 task에 대해서 reward system 구축
(LLM-as-Judge, Reward Model, Verifier Reward 등 다양하게 사용한 것으로 사료) * LLM-as-Judge에서 Qwen2.5-72B-Instruct에게 reference answer주고 model output 평가했다고 함 * 아마 api model도 Judge로 100% 사용했을듯
Instruction Following: content, format, length, use of structured output, human alignment에 대한 reward signal
Format Following: /think, /no_think에 대응되는 생성하는지, <think>, </think> tag 올바르게 생성하는지
Preference Alignment: RLHF (helpfulness, engagement, style)
Agent Ability: 지정된 인터페이스를 통해 tool을 올바르게 호출하는지, 실제 environment execution에서 multi-turn 학습을 진행해 reward signal을 줌
Abilities for Specialized Scenarios: RAG task에 대한 rewarding system도 구축해서 학습

Strong-to-Weak Distillation

- student model: Qwen3-0.6B, 1.7B, 4B, 8B, 14B, and Qwen3-30B-A3B - teacher model: Qwen3-32B and Qwen3-235B-A22B
Off-policy Distillation: teacher로 /think, /no_think answer generation → student SFT
On-policy Distillation: teacher/ student로 /think, /no_think answer generation → KLD training

Post-Training Evaluation

- thinking mode: temperature: 0.6 / top-p: 0.95/ top-k: 20 (creative thinking: presence penalty: 1.5)
- non-thinking mode: temperature: 0.67/ top-p: 0.8/ top-k: 20 / presence penalty: 1.5
Qwen3-235B-A22B
Qwen3-32B
- Qwen3-235B-A22B는 DeepSeek-R1, DeepSeek-V3보다는 높은 thinking, non-thinking score * DeepSeek-R1의 60% activate params, 35% total params로 17/23개에서 높은 성능 * gpt-4o-2024-07-18보다 18/23개에서 좋은 non-thinking 성능
- Hybrid Model임에도 Qwen-3 32B가 QwQ-32B보다 높은 reasoning 성능 (17/23)
Lightweight Model
- - Qwen3-30B-A3B와 Qwen3-14B의 Thinking 성능이 params 수가 큰 QwQ-32B보다 높음
- student baselines (DeepSeek-R1-Distill-Qwen-14B, DeepSeek-R1-Distill-Qwen-32B)보다 좋은 성능 ; 2배 넘는 pre-training token, KLD가 추가되었으니 당연한 결과일수도!
- Qwen3-8B / 4B / 1.7B / 0.6B에서도 동일한 결과

Discussion

Effectiveness of Thinking Budget
- math, code, STEM에서 thinking budget 증가할수록 성능 증가 (32K이상으로 두면 성능향상 더 있을거라고 예상)
Effectiveness and Efficiency of On-Policy Distillation * off-policy distill을 완료한 8B checkpoint에서 실험
- 작은 모델의 경우 직접 RL하는것보다 Distill하는게 성능도 높고 GPU Hours면에서 10배 더 효율적
- AIME24,25에서 RL보다 Distill의 pass@64가 더 높은데, 논문에서는 distill하는게 효과적인 exploration 능력을 주입했다고 주장
Effects of Thinking Mode Fusion and General RL * thinking mode와 General RL 능력을 평가하기 위해 각 stage의 ckpt를 public/in-house benchmark에 측정 * (1) CountFactQA (hallucination) (2) LengthCtrl (length control & generation) (3) ThinkFollow (\think \no_think usage in multi-turn) (4) ToolUse (intent recognition, format accuracy, parameter accuracy in single/multi-turn tool calling)
- thinking mode fusion 이후 88.7%의 thinking switching ability, general IF 성능도 향상
- general RL이후 thinking/non-thinking ability 동시 상승 (후자 상승이 신기하긴 함)
- Knowledge, STEM, Math, Coding의 경우 stage3,4 이후 thinking 성능 변화가 없거나 일부 하락
( verifiable reward가 관련 지식을 학습시키는데 있어서 가장 중요한듯 / model의 versatility를 위해서 어쩔 수 없는 trade-off인듯)

6. Future Work

- scaling pre-training data (quality & diversity)
- efficient compression/generation → MTP
- environmental feedback for agent system

Group Sequence Policy Optimization (GSPO)

1. Introduction

성공적인 RL 학습을 위해서는 stable and rubust tranining dynamics가 보장되어야 하는데 model size를 scale할수록 GRPO는 불안정해진다고 함
GRPO의 문제점을 지적, 이를 개선한 GSPO 제시

2. Preliminaries

Likelihood of y conditioned by xx: πθ(yx)=t=1yπθ(ytx,y<t)π_θ(y|x) = ∏^{|y|}_{t=1} π_θ(yt|x,y<t)
Verified reward rr: r(x,y)[0,1]r(x,y) ∈ [0,1]

Proximal Policy Optimization (PPO)

importance ratio of yty_{t}: wt(θ)=πθ(ytx,y<t)πθold(ytx,y<t)w_{t}(θ) = \frac{π_θ(y_t|x,y_{<t})}{π_{θold} (y_t|x,y_{<t})}
old policy의 근접 영역 내에서 policy update를 제한
value model이 normalizer 역할을 해주는데 PPO 학습을 위해 필연적 (policy model이랑 똑같은 size 필요)

Group Relative Policy Optimization (GSPO)

각 response의 relative advantage를 구함으로 value model의 필요성 제거
yiy_i내에 있는 모든 token이 Ai^\hat{A_i}를 공유

3. Motivation

large model size / sparsity (MoE) / long response → large rollout batch (max. hardware utils)
Importance sampling
- ff에 대한 expectation을 구해야하는데 πtar\pi_{tar}로 샘플링할 수가 없어서 target 분포 πtar\pi_{tar}하에서의 기대값을 behavior 분포 πbeh\pi_{beh} sample로 근사.
- large batch size인 경우 mini-batch로 쪼개서 update를 하는데 πbeh\pi_{beh}를 mini-batch에 일률적으로 적용 → off-policy discrepancy → PPO/GRPO가 cliping을 쓰는 이유 (πtar\pi_{tar}πbeh\pi_{beh}가 너무 멀어지지 말라고)
Optimization-Reward Unit Mismatch
importance sampling 수식을 보면 key는 instance 단위(LLM 입장에서는 sequence)를 맞춰야 하는거
GRPO는 importance weight를 1개 token 단위로 계산 (wi,t(θ)w_{i,t}(\theta)) reward는 여전히 sequence 단위 (Ai,t^=Ai^\hat{A_{i,t}}=\hat{A_{i}})라 불일치 → token마다 별도로 적용하면서 한 token에서의 sample 변동성을 그대로 gradient에 반영 → sequence가 길어질수록 토큰별 ratio가 쌓임 → 불필요한 high variance
GRPO의 clipping 메커니즘이 이 문제를 악화 → 실험결과 training 도중에 collapse 발생해도 복구 불가
한줄 정리: optimize는 token 단위로 clipping 적용하는데, reward는 sequence단위로 적용

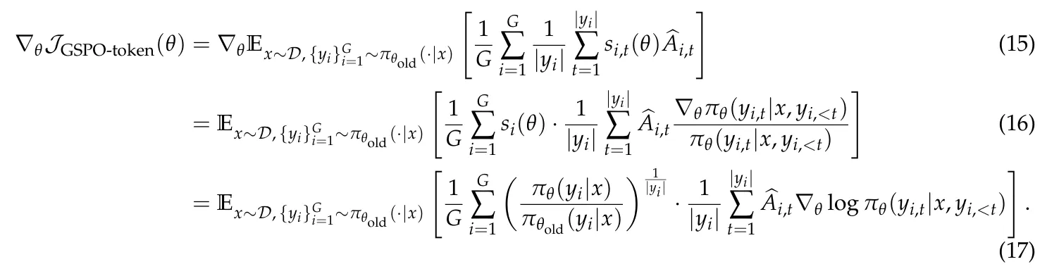
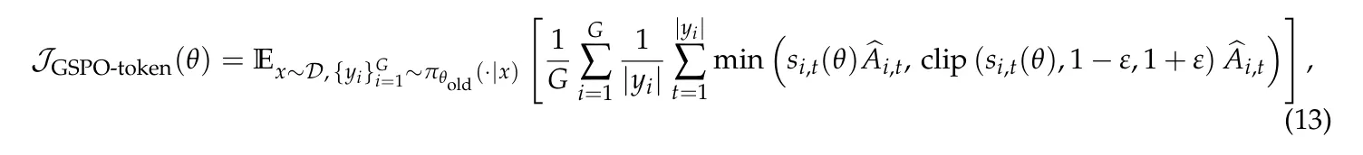
4. Algorithm

Sequence-Level로 Reward를 주기 때문에 importance weight도 sequence단위로 주기
(πθ(yi,tx,yi,<t)πθold(yi,tx,yi,<t)\frac{π_θ(y_i,t|x,y_{i,<t})}{π_{θold} (y_i,t|x,y_{i,<t})}πθ(yx)πθold(yx)\frac{π_θ(y|x)}{π_{θold} (y|x)})

GSPO

sequence likelihood 비율을 length로 정규화해서 사용
clipping도 토큰이 아니라 sequence 단위로 적용 → 지나치게 off-policy한 token이 gradient에 영향을 주는 것을 막음
gradient analysis; clipping is omitted for brevity
Gradient analysis를 살펴보면 GSPO와 GRPO의 차이는 token의 loglikelihoods gradient에 어떻게 weight를 줄까의 차이
GRPO는 token마다 다른 importance weight를 각 token gradient에 곱해주나 (sequence가 길어질수록 clipping이 계속 적용되면 unstable training) GSPO는 동일한 importance weight를 token gradient에 곱해줌

GSPO-Token

multi-turn RL 같이 scenario setting으로 흘러가면 token별 reward를 design해야하는데 GRPO/GSPO 둘다 그걸 고려한 수식은 아님
si(θ)s_i(\theta) 값은 그대로 유지하면서도, gradient가 토큰별 확률에 흘러가도록 설계됨.
importance ratio는 여전히 sequence-level 안정성을 주지만, gradient는 token-level로 세분화 가능
증명
Ai,t^\hat{A_{i,t}}가 t별로 다를때 token gradient에 서로 다른 reward를 흘릴 수 있음 (Ai,t^=Ai^\hat{A_{i,t}}=\hat{A_i}일 경우엔 Ai,t^\hat{A_{i,t}}Σt\Sigma_t밖으로 나오기 때문에 GSPO랑 동일한 수식)
sequence-level importance ratio를 공유하면서도 token-level reward 반영 가능 → variance 완화 + fine-grained reward 동시 가능

5. Experiments and Discussion

Setting
base model: Qwen3-30B-A3B-Base
clipping hyperparameter 조정
GSPO: clipping range를 (3e-4, 4e-4)로 설정
GRPO: clipping range를 (0.2, 0.27)로 설정
rollout 데이터를 4개의 mini-batch로 나눠서 gradient update
Routing Replay
MoE로 학습시 expert-activation 변동성이 굉장히 큰 문제 (GRPO는 이걸 더 강화시킴)
expert-activation volatility of MoE models
같은 입력에 대해,
- rollout 단계: old policy가 어떤 expert들을 선택해서 토큰을 생성
- update 단계: new policy가 likelihood를 계산할 때는 다른 expert들이 활성화될 수 있음
(e.g., RL step (gradient update)이 지날 때마다 약 10% expert가 바뀜)
→ token-level로 importance ratio 계산하는 GRPO 사용시 model이 deeper해질수록 stability 악화
old policy에서 activate한 expert를 caching하고 new policy likelihood 계산할때 그대로 사용
rollout expert set과 update expert set을 동일하게 맞춤
GRPO의 학습 안정성 개선
Routing Replay의 문제점
메모리/통신 오버헤드 증가
모델이 본래 MoE 구조가 가진 capacity(전문가 다양성 활용)를 제한
GSPO는 Routing Replay 사용하지 않고도 안정적 학습 가능
개별 token 수준의 expert 선택에 민감하지 않고 sequence-level likelihood different를 사용 → 학습 안정
(어떤 expert set을 사용하든 최종적인 sequence의 likelihood는 fluctuate X)
Clipping
GRPO - clipping fraction: 작음 (구간 안에 잘 들어옴) - variance: 큼 (token 단위 노이즈 누적 → gradient noisy)
GSPO - clipping fraction: 큼 (tail이 커져 잘림 많음) - variance: 작음 (sequence-level이라 token noise 평균화됨 → gradient 안정적)
⇒ "많은 샘플을 버리면 학습 효율이 떨어지지 않다”가 항상 맞말은 아님 (estimator의 안정성이 더 중요)
Benefits of GSPO
실제 학습시 training engine (e.g., Megatron)과 inference engine (e.g., vLLM, SGLang)을 따로 사용 → precision mismatch 문제 발생
- rollout을 inference engine으로 뽑아오면 likelihood(πold(yx)π_{old}(y|x))가 약간 다르게 계산될 수 있음.
- GRPO는 token-level likelihood가 필요해서 이 작은 오차에도 민감
- 그래서 보통은 training engine에서 다시 likelihood를 재계산 → compute overhead
GSPO: equence-level likelihood만 사용 - sequence log-likelihood가 token log-likelihood보다 precision discrepancy에 덜민감 - inference engine에서 얻은 likelihood를 그대로 학습에 사용
⇒ rollout compute와 training compute의 분리

6. Conclusion

importance sampling의 기본 원리를 따른 sequence likelihood를 통해 학습 안정 + 성능 향상

Reference